반응형
Edge Detection
목차
0. Preview
1. 에지 검출의 기초
2. 영교차 이론
3. 캐니 에지
4. 컬러 에지
5. 선분 검출
0. Preview
- 에지의 유용성
- 물체의 경계를 표시해 줌
- 매칭에 용이한 선분이나 곡선으로 변환 가능

원래영상과 에지 영상
- 에지의 한계
- 실종된 에지(거짓 부정, False Negative), 거짓 에지(거짓 긍정,False Positive) 발생
- 이들 오류를 어떻게 최소화할 것인가?
1. 에지 검출의 기초
- 원리
- 물체 내부나 배경은 변화가 없거나 작은 반면, 물체 경계는 변화가 큼
- 이 원리에 따라 에지 검출 알고리즘은 명암, 컬러 또는 텍스처의 변화량을 측정하고, 변화량이 큰 곳을 에지로 검출
1.1 디지털 영상의 미분
- 1차원($tan\theta $ = 기울기 = 변화량)
- 연속 공간에서의 미분
- $tan\theta $ = 기울기 = 변화량
- $S\prime(x) = \frac{ds}{dx} = \lim_{\delta x \to 0} \frac{s(x+\delta x) - s(x)}{\delta x}$
- 디지털(이산) 공간에서 미분
- $f\prime(x) = \frac{df}{dx} = \frac{f(x+\delta x) - f(x)}{\delta x} = f(x+1) - f(x)$
- 이에 해당하는 마스크 = [-1,1] <- 에지 연산자에 해당

미분과 에지 검출 - $f -> f\prime$ : $f(x+1) - f(x)$
- $ f\prime -> | f\prime|$ : 위 (b)그림에서는 threshold = 3으로, 3보다 큰 값은 $| f\prime| =1$, 작은 값은 $| f\prime| =0$으로 이진화 됨
- 연속 공간에서의 미분
1.2 에지 모델과 연산자
- 계단 에지(Step Edge)와 램프 에지(Ramp Edge)
- 자연 영상에서는 주로 램프 에지가 나타남

에지 모델
- 2차 미분
- $f\prime\prime(x)=\frac{d^2f}{dx^2} = f\prime(x)-f\prime(x-1)$
- $= (f(x+1)-f(x)) - (f(x)-f(x-1))$
- $= f(x+1) + f(x-1) -2f(x)$
- 이에 해당하는 마스크 = [1,-2, 1]
- 램프 에지에서의 미분의 반응

램프 에지에서 1차와 2차 미분의 반응 - 2차 미분 결과 '영교차(zero crossing point)'를 경계지점으로 설정
- 에지 검출 과정
- 1차 미분에서 봉우리 또는 2차 미분에서 영교차를 찾음
- 두꺼운 에지에서 위치 찾기 적용
- 현실에서는 잡음(Noise) 때문에 스무딩(Smoothing)이 필요함
- 예:) 100 100 100 170 170 170 -> 98 97 101 102168 170
- $\delta x = 2$인 연산자로 확장
- 고화질일 경우 픽셀 간의 사이가 촘촘하므로 차이가 별로 나지 않아 $\delta x$(offset)을 키워야 함
- $f\prime(x) = \frac{df}{dx} = \frac{f(x+1) - f(x-1)}{2}$
- 이에 해당하는 마스크 = [-1, 0, 1]
- 2차원으로 확장
- 정방향으로 확장하여 에지 검출

에지 연산자 - 로버츠(Roberts) 마스크
- 장점: 크기가 작아 연산이 적으므로, 빠른 속도로 동작하며 주변과 관계없이 확실한 에지 추출에 좋음
- 단점: 돌출된 값을 평균할 수 없으며 잡음에 민감함
- 프레윗(Prewitt) 마스크
- 장점: 돌출된 값을 잘 평균화
- 단점: 대각선보다 수평/수직에 놓인 에지에 민감(값이 일렬로 나열되어 있으므로)
- 소벨(Sobel) 마스크
- 장점: 돌출된 값을 잘 평균화하며, 모든 방향의 에지 검출이 가능하며 잡음에 강하다
- 단점: 대각선 방향에 놓인 에지에 민감함
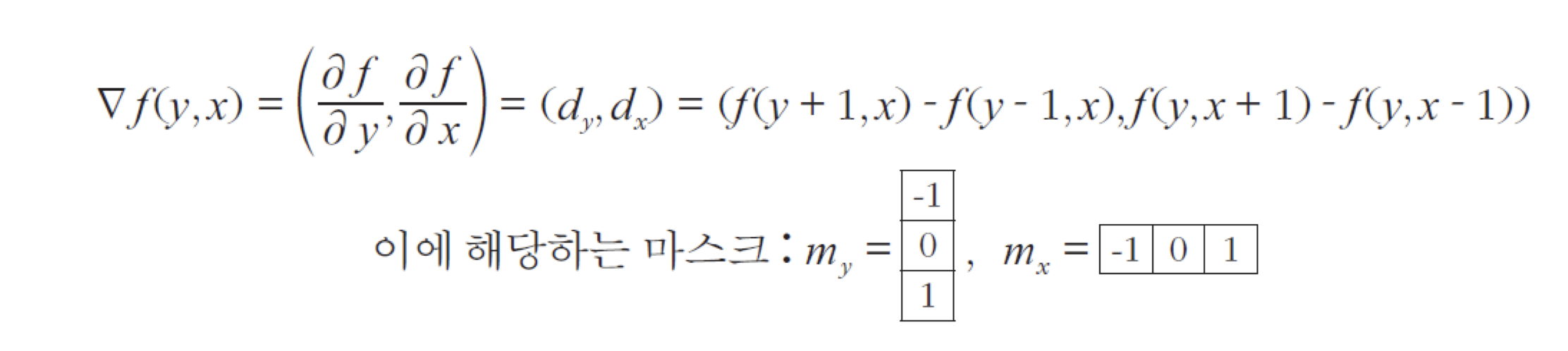
1.3 에지 강도와 에지 방향
- 에지 검출 연산
- 그레디언트(Gradient) : $\nabla f = (\frac{\partial f}{\partial y}, \frac{\partial f}{\partial x}) = (d_y, d_x)$
- 에지 강도(대각 계산, Euclid 거리와 비슷) : $S(y,x) = magnitude(\nabla f) = \sqrt{d_y^2 + d_x^2}$
- 그레이언트 방향(각도계산) : $D(y,x) = arctan(\frac{d_y}{d_x}) = tan^-1(tan \theta) = \theta$
- 에지방향은 그레디언트 방향에 수직에 해당함
-

에지방향과 8-방향 양자화
- 예제. 아래의 (5,3) 위치에 있는 화소에 대해 소벨 에지 연산자를 적용하여 그레디언트, 에지 강도, 에지 방향을 계산해보자


- 에지 방향은 그레디언트 방향에 수직이므로 $90도 = |그레디언트 방향| + 에지 방향 = 63.4 + \theta$
- 따라서 에지 방향은 $\theta = 26.6$이며, 양자화하면 0도~45도는 1에 해당하므로 '1'이 된다
- 에지 검출 연산 관련 예시

에지 검출과 관련된 맵
2. 영교차 이론
- 1980년에 Marr과 Hildreth가 개발[Marr80]
- 이전에는 주로 소벨을 사용
2.2 가우시안과 다중 스케일 효과
- 가우시안을 사용하는 이유
- 미분은 잡음을 증폭시키므로 스무딩 적용이 중요함

미분에 의한 잡음 증폭
- $\sigma$ 를 조절하여 다중 스케일 효과
- 에지의 세밀함 조절 가능
- $\sigma$ 가 커질수록 해상도와 고주파는 낮아짐

다중 스케일 에지 효과
- 미분은 잡음을 증폭시키므로 스무딩 적용이 중요함
- 가우시안(Gaussian)
- $G(x) = \frac{1}{\sqrt{2 \pi}\sigma}e^{-\frac{x^2}{2\sigma^2}}$
- $\sigma$ 로 스케일 조절
- $\sigma$ 가 커질수록 표준편차는 작아지며, $\sigma$ 가 작아질 수록 중앙값은 커진다

가우시안 커널
- 2차원 가우시안
- $G(y,x) = \frac{1}{2 \pi \sigma^2}e^{-\frac{y^2+x^2}{2\sigma^2}}$
- $\sigma = 2.0$ 일때 가우시안 함수

2차원 가우시안 함수
- 이산 공간에서 구현
- 마스크 크기가 작으면 오차, 크면 계산 시간 과다
- $6 \sigma $ 와 같거나 큰 가장 작은 홀수로 $\sigma = 3.0$이면 19*19 마스크 사용
2.3 LOG 필터
- Marr-Hildreth 에지 검출 알고리즘[Marr80]
- 2차 미분에서 영교차 검출
- 알고리즘
- $\sigma$ 크기의 가우시안으로 입력 영상 f를 스무딩(지역통과 필터링)
- 결과 영상에 라플라시안 연산자를 적용하여 2차 미분을 구한다
- 결과 영상에서 영교차를 찾아 에지로 설정하고 나머지는 비에지로 설정
- 라플라시안(Laplacian)
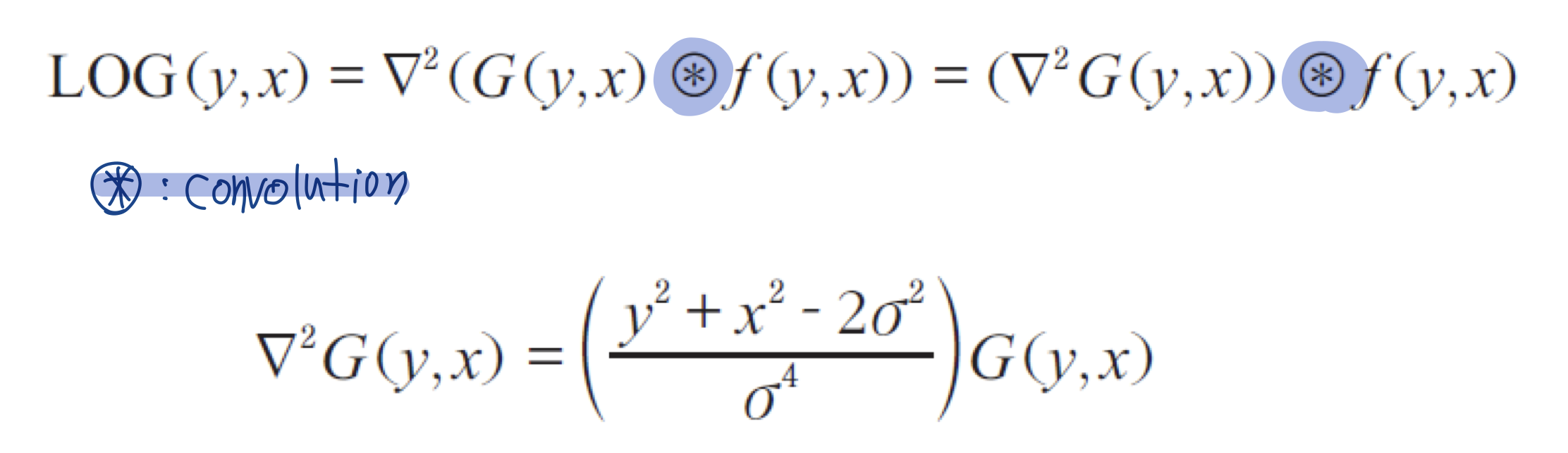
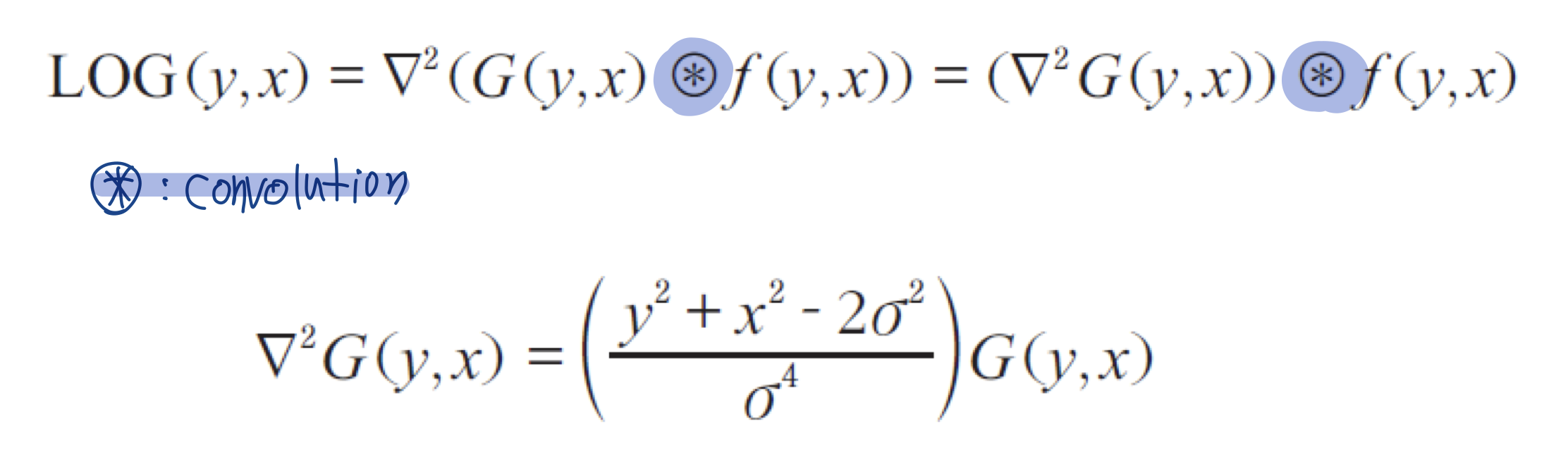
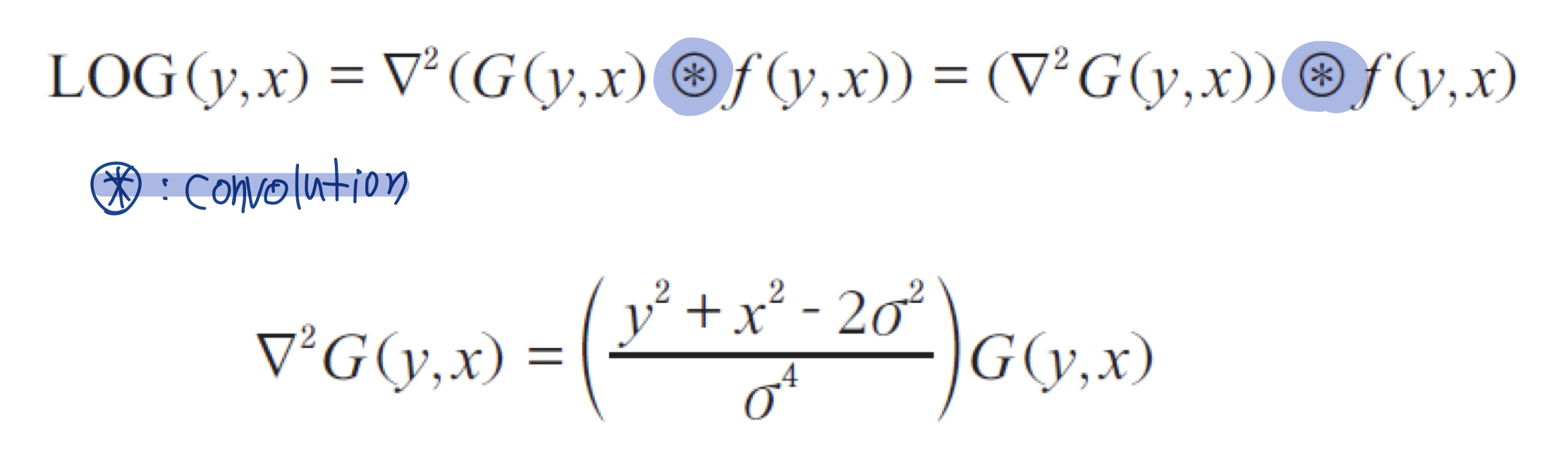
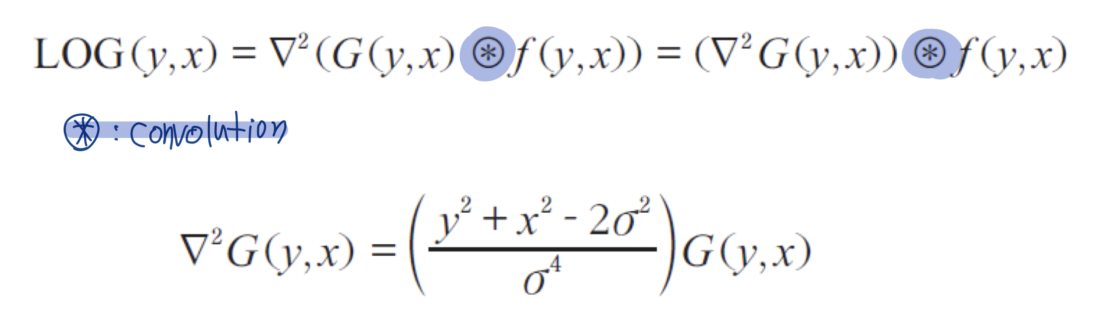
- LOG(Laplacian of Gaussian) 필터
- 입력 영상에 가우시안G를 적용한 후, 결과에 라플라시안을 다시 적용하는 두 단계의 비효율성
- 계산 시간 과다
- 이산화에 따른 오류 누적
- LOG 필터를 이용한 한 단계 처리

- 원래는 가우시안 마스크에 이미지f를 convolution을 한 후에 2차 미분을 하는 두 단계였으나, 가우시안 마스크에 이차 미분한 마스크 상태로 이미지f에 한 번만 convolution을 함
- LOG 필터를 사용한 에지 검출 알고리즘
- $\sigma$ 크기의 LOG 필터를 입력 영상 f에 적용
- 결과 영상에서 영교차를 찾아 에지로 설정하고, 나머지는 비에지로 설정

LOG 필터
- 영교차 검출
- 여덟개의 이웃 중에서 마주보는 동-서, 남-북, 북동-남서, 북서-남동의 화소 쌍 네 개를 조사
- 그들 중 2개 이상이 서로 다른 부호 가지는 값 확인
- 부호가 다른 쌍의 값 차이가 임계값 T를 넘을 경우 가운데 화소는 영교차 점에 해당
- 예시 : 8x8 원래 영상f에 $\sigma = 0.5$ 의 3x3 LOG 연산자를 적용하여 얻은 영상이 g이다. g의 (6,3)의 영교차 여부를 따져보자

- (6,3) 화소의 북-남 ,북서-남동의 화소 쌍이 서로 다른 부호를 가짐
- 이들의 화소의 값차이는 각각 7.6442, 5.2379이다
- 임계값 T= 1.0일 때, 두 값 모두 T를 넘으므로 이 화소는 영교차 점이 된다
- 아래는 T = 1.0으로 구한 에지 영상 b이다
- LOG 필터를 사용한 다중 스케일 에지 검출 예시

다중 스케일 에지 검출 - $\sigma $ 값이 커질수록 false edge와 true edge 둘 다 작아진다
- 입력 영상에 가우시안G를 적용한 후, 결과에 라플라시안을 다시 적용하는 두 단계의 비효율성
<3. 캐니에지 ~ >부터는 다음 게시글에서 계속...
https://codingsmu.tistory.com/106?category=983612
[패턴인식] 에지 검출(2) : 캐니 에지, 컬러 에지, 선분 검출
Edge Detection 목차 0. Preview 1. 에지 검출의 기초 2. 영교차 이론 3. 캐니 에지 4. 컬러 에지 5. 선분 검출 은 이전 게시글을 참고해주세요 https://codingsmu.tistory.com/105 [패턴인식] 영상 처리(2) : 이..
codingsmu.tistory.com
반응형
'인공지능(AI) > 컴퓨터비전(CV)' 카테고리의 다른 글
| [패턴인식] 지역 특징 검출(1): 이동/회전 불변 특징점 검출, 위치 찾기 알고리즘 (0) | 2021.10.24 |
|---|---|
| [패턴인식] 에지 검출(2) : 캐니 에지, 컬러 에지, 선분 검출 (0) | 2021.10.24 |
| [패턴인식] 영상 처리(3) : 다해상도, 모폴로지, 컬러 (0) | 2021.10.24 |
| [패턴인식] 영상 처리(2) : 이진영상, 영상 처리의 세가지 기본 연산 (2) | 2021.10.21 |
| [패턴인식] 영상 처리(1) : 디지털 영상, 히스토그램 (0) | 2021.10.21 |


