반응형
Image Segmentation
목차
0. PREVIEW
1. 영상 분할의 원리
2. 전통적 방법
3. 민시프트
4. 대화식 물체 분할
5. 알고리즘 선택
<0~2. 전통적 방법>은 이전 게시글을 참고해주세요
https://codingsmu.tistory.com/117
[패턴인식] 영상분할(1): 영상 분할의 원리, 전통적 방
codingsmu.tistory.com
3. 민시프트
모드 탐색
- 샘플이 주어진 경우, 어떤 점이 속한 모드(봉우리를 찾는 문제)
- y의 모드는?

모드 탐색
3.1 군집화
파젠 창(Parzen Window)을 이용한 확률분포 추정
- h는 커널의 폭(클수록 많은 샘플이 창 안으로 들어와 매끄러운 함수가 생성됨)
- 차원의 저주 발생
- 차원이 커질수록 기하급수적으로 메모리와 계산 시간 증가
- 명시적으로 확률분포를 추정하려는 시도는 수학적으로 그럴싸하지만 비현실적임
- 따라서, 파젠 창은 계산, 시간복잡도가 커 현재에는 거의 사용하지 않는 방법임
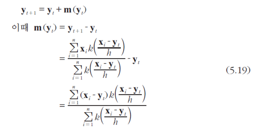
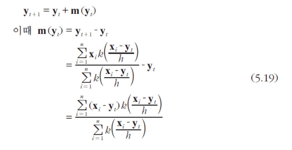
민시프트(Mean Shift)
- 우회적으로 소속(모드)을 결정하는 기법
- $y$를 $y_0$로 놓고 시작하여, 수렴할 때까지 $y_0 -> y_1 -> y_2 -> \cdots $ 반복


- 현재 점 $y_t$를 민시프트 $m(y_t)$가 $y_{t+1}$로 이동시킴
- (5.18)식을 다음과 같이 바꿔쓰기도 가능
민시프트 알고리즘의 특징
- K-means나 Gaussian mixture 군집화 알고리즘과 달리 군집의 개수를 사전에 알려줄 필요가 없음
- K-means나 Gaussian mixture는 일정한 모양의 분포를 가정하고 매개변수를 추정하는 모수적(Parametric) 방법이지만, 민시프트는 비모수적(non-parametric) 방법임
- 설정해야 할 파라미터가 적음
- 단, 샘플 데이터 개수가 커질수록 속도가 느려짐
- 샘플 데이터 수가 적고 군집의 개수를 사전에 알 수 없는 경우에 적합
민시프트를 이용한 군집화 알고리즘
- 모든 점에 대해 식 (5.19)로 수렴점을 찾은 후 군집을 배정
- 뛰어난 군집화 알고리즘: 군집화 개수 자동 결정, 임의 모양 군집, 설정할 매개변수 적음
- 코드
-
더보기더보기
#input = sample's set X={x_i|i=1,2,...,n}, epsilon(convergence threshold) #output = k modes z_i, 1<=i<=k, a(x_i)is represent x_i's group, 1<=i<=n for j in range(1, n+1): y_0 = x_i // set the initial point t = 0 while True: # calculate y_t+1 using (5.19) ... if abs(y_t+1 - y_t) <= epsil): #convergence break t += 1 v_i = y_t+1 # save convergence point # clustering step # 1) v_i, i=1,2,...,n에서 h이내에 있는 점들을 모아 군집화하고, # 군집 중심을 z_j, j=1,2,...,k라 한다 # 2) x_i, i=1,2,...,n이 속한 군집 z_c를 찾아 a(x_i)=c라 한다
-
- Mean-shift Clusteting 추가 설명은 나의 큰 O는 log x야 님의 블로그를 참고하시면 좋습니다
[기계 학습] Mean Shift 클러스터링
클러스터링(clustering)은 사람의 간섭 없이 컴퓨터가 스스로 유사한 값들을 묶어서 덩어리를 찾아내는 작업을 뜻합니다. 사람이 분류 체계를 미리 만들어주어야 하는 분류(classification)과는 유사하
bab2min.tistory.com
3.2 영상분할과 스무딩
민시프트를 영상 분할에 어떻게 적용할까?
- [Comaniciu2002] 영상 f를 샘플 집합 X로 변형
- 화소가 샘플이 됨
몇 차원으로 표현할 것인가?
- 컬러만 표현하면 2.2절의 k-means와 비슷한 결과
- 컬러 $x^r=(r,g,b)$와 화소의 위치 $x^s=(y,x)$를 같이 표현 -> 5차원 벡터 x=(r,g,b,y,x)
- 영상 분할 시 색깔(color)과 위치 정보(Spatial locality)를 둘 다 고려해야 함
- $x^r, x^s$의 스케일 차이를 고려하여 커널을 별도로 표현
- 민시프트(EDISON)로 분할한 영상
민시프트의 활용
- 데이터 군집화(Clustering)
- 영상 분할(Segmentation) , 스무딩(Smoothing)
- 입력 데이터 형태를 좌표 뿐만 아니라 컬러를 포함하여 사용
- $(x,y) \to (x,y,r,g,b) or (x,y,L,u,v)$
- 에지 보존 스무딩(Edge preserving Smoothing)
-
# input: color image f_r(j,i),f_g(j,i),f_b(j,i), 0<=j<=M-1, 0<=i<=N-1 # output: smoothing color image for i in range(1, M*N+1): # replace X_i's pixel value with V_i^r - 왜 에지 보존 특성을 갖나?
-
- 입력 데이터 형태를 좌표 뿐만 아니라 컬러를 포함하여 사용
- 객체 추적(object tracking)
- 빠르게 하기 위해 히스토그램 역투영(histogram backprojection) 알고리즘 활용하기도 함

히스토그램 역투영을 이용한 객체 추적
4. 대화식 물체 분할
물체/배경 분할

- 사용자가 초기 곡선 지정->대화식 시스템
- 컴퓨터 비전과 컴퓨터 그래픽스의 협동
4.1 능동 외곽선
스네이크보다 진보한 현대적인 기법 등장
- 지능가위: 편리한 사용자 인터페이스 제공[Mortenson98]
-

지능 가위의 동작
-
- 레벨 셋
- GrabCut
4.2 그래프 절단(Pass)
5. 알고리즘 선택
어떤 알고리즘을 선택해야 하나?
- 뚜렷한 가이드라인이 없음
- 자신의 응용환경에서 성능 실험하여 알아냄
선택을 도우려는 노력: 데이터베이스
- UC 버클리, 바이츠만 연구소

영상 분할용 표준 데이터베이스
선택을 도우려는 노력: 성능 분석
- 성능 측정 방법[Unnikrishnan]
- 성능 벤치마킹[Estrada2005, Arbelaez2011]
표준 데이터베이스가 있어 좋지만, 주의할 점도 있다!
- 데이터베이스에 집착하여 과적합(overfitting) 문제를 야기할 수 있음
- 즉, 일반화 능력이 낮은 알고리즘을 낳을 수 있기 때문에 주의
- 이러한 문제를 해결하는 한 방법으로 데이터베이스의 크기를 꾸준히 키워나가는 중
반응형
'인공지능(AI) > 컴퓨터비전(CV)' 카테고리의 다른 글
| [패턴인식] 특징 기술(2): 특징 기술자, 영역 기술자 (2) | 2021.12.18 |
|---|---|
| [패턴인식] 특징 기술(1): 특징 기술자, 영역 기술자 (0) | 2021.12.17 |
| [패턴인식] 영상분할(1): 영상 분할의 원리, 전통적 방법 (0) | 2021.12.16 |
| [패턴인식] 지역 특징 검출(2): 스케일에 불변한 특징점 검출 (0) | 2021.12.15 |
| [패턴인식] 지역 특징 검출(1): 이동/회전 불변 특징점 검출, 위치 찾기 알고리즘 (0) | 2021.10.24 |



